计算机网络(二)
图片加载较慢,请耐心等待!🌤️🌥️🌦️
知识点一:物理层的基本概念
- 物理层考虑的是怎样才能在连接各种计算机的传输媒体上传输数据比特流
- 物理层为数据链路层屏蔽了各种传输媒体的差异,使数据链路层只需要考虑如何完成本层的协议和服务,而不必考虑网络具体的传输媒体是什么
物理层协议的主要任务
机械特性指明接口所用接线器的形状和尺寸、引脚数目和排列、固定和锁定装置电气特性指明在接口电缆的各条线上出现的电压的范围功能特性指明某条线上出现的某一电特性平的电压表示何种意义过程特性指明对于不同功能的各种可能事件的出现顺序
知识点二:物理层下面的传输媒体
传输媒体
也称为传输介质或传输媒介,它就是数据传输系统中在发送器和接收器之间的物理通路
传输媒体课分为两大类,即 导引型传输媒体和 非导引型传输媒体
导引型传输媒体
- 同轴电缆
-
基带同轴电缆(50Ω)
数字传输,过去用于局域网
-
宽带同轴电缆(75Ω)
模拟传输,目前主要用于有线电视
-
同轴电缆价格较贵且布线不够灵活和方便,随着集线器的出现,在局域网领域基本上都是采用双绞线作为传输媒体
-
- 双绞线
- 无屏蔽双绞线
- 屏蔽双绞线
- 绞合的作用
- 低于部分来自外界的电磁波干扰
- 减少相邻导线的电磁干扰
- 光纤
多模光纤可以存在多条不同角度入射的光线在一条光纤中传输单模光纤若光纤的直径减小到只有一个光的波长,则光纤就像一根波导那样,它可使光线一直向前传播,而不会产生多次反射
- 电力线
非导引型传输媒体
非导引型传输媒体是指自由空间
- 无线电波
- 微波
- 直线传播
- 300MHz~300GHz
- 地面一般只有50km
- 多径效应 多条路径的信号叠加后一般会产生很大的失真
- 地面微波接力通信与卫星通信
- 红外线
- 可见光
信噪比越大,误码率越低
知识点三:传输方式
串行传输和并行传输
串行传输:
数据是一个比特一个比特依次发送的,因此在发送端与接收端之间,只需要一条数据传输线路即可
并行传输:
一次发送n个比特,因此,在发送端和接收端之间需要有n条传输线路
并行传输的优点是比串行传输的速度n倍,但成本高
数据在传输线路上的传输采用是串行传输,计算机内部的数据传输常用并行传输
同步传输和异步传输
同步传输
数据块以稳定的比特流的形式传输。字节之间没有间隔
- 接收端在每个比特信号的中间时刻进行检测,以判别接收到的是比特0还是比特1
- 由于不同设备的时钟频率存在一定差异,不可能做到完全相同,在传输大量数据的过程中,所产生的判别时刻的累计误差,会导致接收端对比特信号的判别错位
所以需要收发双方时钟保持同步
- 外同步:在收发双方之间添加一条单独的时钟信号线
- 内同步:发送端将时钟同步信号编码到发送数据中一起传输(例如曼彻斯特编码)
异步传输:
- 以字节为独立的传输单位,字节之间的时间间隔不是固定
- 接收端仅在每个字节的起始处对字节内的比特实现同步
- 通常在每个字节前后分别加上起始位和结束位
- 异步
- 字节之间异步(字节之间的时间间隔不固定)
- 字节中的每个比特仍然要同步(各比特的持续时间是相同的)
单向通信(单工)、双向交替通信(半双工)和双向同时通信(全双工)
| 名称 | 定义 | 例子 |
|---|---|---|
| 单向通信 | 又称为单工通信,即只能有一个方向的通信而没有反方向的交互 | 无线电广播 |
| 双向交替通信 | 通信的双方可以发送信息,但不能双方同时发送(当然也就不能同时接收) | 对讲机 |
| 双向同时通信 | 通信的双方可以同时发送和接收信息 | 手机 |
单向通信只需要一条信道,而双向交替通信或双向同时通信则需要两条信道(每个方向各一条)
✨知识点四:编码与调制
基础知识
- 数据 (data) —— 运送消息的实体。
- 信号 (signal) —— 数据的电气的或电磁的表现。
- 模拟信号 (analogous signal) —— 代表消息的参数的取值是连续的。
- 数字信号 (digital signal) —— 代表消息的参数的取值是离散的。
- 码元 (code) —— 在使用时间域(或简称为时域)的波形表示数字信号时,代表不同离散数值的基本波形。
- 基带信号(即基本频带信号)—— 来自信源的信号。像计算机输出的代表各种文字或图像文件的数据信号都属于基带信号。
传输媒体与信道的关系
信道 一般用来表示向某一个方向传送信息的媒体(信源、信道、信宿)
- 严格来说,传输媒体不能和信道划等号
- 对于单工传输,传输媒体只包含一个信道,要么是发送信道,要么是接收信道
- 对于半双工和全双工,传输媒体中要包含两个信道,一个发送信道,另一个是接收信道
- 如果使用信道复用技术,一条传输媒体还可以包含多个信道
不归零编码
所谓不归零编码,就是指在整个码元时间内,电平不会出现零电平
实际比特1和比特0的表示要看现实怎么规定
Q:接收端如何判断这是n个码元?
这需要发送方的发送与接收方的接收做到严格的同步
- 需要额外一根传输线来传输时钟信号,使发送方和接收方同步,接收方按时钟信号的节拍来逐个接收码元
- 但是对于计算机网络,宁愿利用这根传输线传输数据信号,而不是传输时钟信号
由于不归零编码存在同步问题,因此计算机网络中的数据传输不采用这类编码
归零编码
**每个码元传输结束后信号都要“归零”**所以接收方只要在信号归零后进行采样即可,不需要单独的时钟信号
实际上,归零编码相当于把时钟信号用“归零”方式编码在了数据之内,这称为“自同步”信号
但是,归零编码中大部分的数据带宽都用来传输“归零”而浪费掉了
归零编码虽然自同步,但编码效率低
曼彻斯特编码
在每个码元时间的中间时刻,信号都会发生跳变
- 码元中间时刻的跳变即表示时钟,又表示数据
- 实际比特1和比特0的表示要看现实怎么规定
- 传统以太网使用的就是曼切斯特编码
差分曼彻斯特编码
在每个码元时间的中间时刻,信号都会发送跳变,但与曼彻斯特不同
- 跳变仅表示时钟
- 码元开始处电平是否变换表示数据
- 实际比特1和比特0的表示要看现实怎么规定
比曼彻斯特编码变化少,更适合较高的传输速率
编码总结
基本调制方法
- **调幅AM:**所调制的信号由两种不同振幅的基本波形构成。每个基本波形只能表示1比特信息量。
- **调频FM:**所调制的信号由两种不同频率的基本波形构成。每个基本波形只能表示1比特信息量。
- **调相PM:**所调制的信号由两种不同初相位的基本波形构成。每个基本波形只能表示1比特信息量。
但是使用基本调制方法,1个码元只能包含1个比特信息
混合调制
- 因为频率和相位是相关的,即频率是相位随时间的变化率。所以一次只能调制频率和相位两个中的一个
- 通常情况下,相位和振幅可以结合起来一起调制,称为正交振幅调制QAM
- 12种相位
- 每种相位有1或2种振幅可选
- 可以调制出16种码元(波形)每种码元可以对应表示4个比特
- 码元与4个比特的对应关系采用格雷码
- 任意两个相邻码元只有1个比特不同
✨知识点五:奈氏准则和香农准则
信道的极限容量
- 任何实际的信道都不是理想的,在传输信号时会产生各种失真以及带来多种干扰。
- 码元传输的速率越高,或信号传输的距离越远,或传输媒体质量越差,在信道的输出端的波形的失真就越严重
失真的原因
- 码元传输的速率越高
- 信号传输的距离越远
- 噪声干扰越大
- 传输媒体质量越差
- 奈氏准则:在假定的理想条件下,为了避免码间串扰,码元传输速率是由上限的
- 低通就是只要低于该频率的就能通过,带通就是某个区间内的频率能通过
- 信道宽度:W 单位Hz
- 信噪比:S/N
- 码元传输速率又称为波特率、调制速率、波形速率或符号速率。它与比特率有一定关系:
- 当1个码元只携带1比特的信息量时,则波特率(码元/秒)与比特率(比特/秒)在数值上是相等的
- 当1个码元携带n比特的信息量时,则波特率转换成比特率时,数值要乘以n
- 在信道带宽一定的情况下,根据奈氏准则和香农公式,要想提高信息的传输速率就必须采用多元制(更好的调制方法)和努力提高信道中的信噪比
- 自从香农公式发表后,各种新的信号处理和调制方法就不断出现,其目的都是为了尽可能地接近香农公式给出的传输速率极限
Q:只要采用更好的调制方法,让码元可以携带更多的比特,岂不是可以无限制地提高信息的传输速率?
A:答案是否定的。因为信道的极限信息传输速率还要受限于实际的信号在信道中传输时的信噪比。
习题
知识点六:信道复用技术
复用 (multiplexing) 是通信技术中的基本概念。
它允许用户使用一个共享信道进行通信,降低成本,提高利用率
频分复用 FDM (Frequency Division Multiplexing)
- 将整个带宽分为多份,用户在分配到一定的频带后,在通信过程中
自始至终都占用这个频带。 频分复用的所有用户在同样的时间占用不同的带宽资源(请注意,这里的“带宽”是频率带宽而不是数据的发送速率)
时分复用TDM (Time Division Multiplexing)
- 时分复用则是将时间划分为一段段等长的
时分复用帧(TDM帧)。每一个时分复用的用户在每一个 TDM 帧中占用固定序号的时隙。 - 每一个用户所占用的时隙是
周期性地出现(其周期就是TDM帧的长度)的。 - TDM 信号也称为
等时(isochronous) 信号。 - 时分复用的所有用户在不同的时间占用同样的频带宽度
时分复用可能会造成线路资源的浪费
使用时分复用系统传送计算机数据时,由于计算机数据的突发性质,用户对分配到的子信道的利用率一般是不高的。
统计时分复用 STDM (Statistic TDM)
解决信道利用率低的问题
波分复用 WDM(Wavelength Division Multiplexing)
波分复用就是光的频分复用。使用一根光纤来同时传输多个光载波信号
光信号传输一段距离后悔衰减,所以要用 掺铒光纤放大器 放大光信号
码分复用 CDM (Code Division Multiplexing)
- 码分复用CDM是另一种共享信道的方法。实际上,由于该技术主要用于多址接入,人们更常用的名词是码分多址CDMA(Code Division Multiple Access)。
- 同理,频分复用FDM和时分复用TDM同样可用于多址接入,相应的名词是频分多址FDMA(Frequency Division Multiple Access)和时分多址TDMA(Time Division Multiple Access).
- 在本课程中,我们不严格区分复用与多址的概念。可简单理解如下:
- 复用是将单一媒体的频带资源划分成很多子信道,这些子信道之间相互独立,互不干扰。从媒体的整体频带资源上看,每个子信道只占用该媒体频带资源的一部分。
- 多址(更确切地应该称为多点接入)处理的是动态分配信道给用户。这在用户仅仅暂时性地占用信道的应用中是必须的,而所有的移动通信系统基本上都属于这种情况。相反,在信道永久性地分配给用户的应用中,多址是不需要的(对于无线广播或电视广播站就是这样)。
- 某种程度上,FDMA、TDMA、CDMA可以分别看成是FDM、TDM、CDM的应用
- 与FDM和TDM不同,CDM的每一个用户可以在同样的时间使用同样的频带进行通信
- 由于各用户使用经过特殊挑选的不同码型,因此各用户之间不会造成干扰
- CDM最初是用于军事通信的,因为这种系统所发送的信号有很强的抗干扰能力,其频谱类似于白噪声,不易被敌人发现。
- 随着技术的进步,CDMA设备的价格和体积都大幅度下降,因而现在已广泛用于民用的移动通信中
频分:一条路同一时间走两种车;
时分:一条路一种车只能在属于他的时间经过;
码分:给两种车分别编号(编码),到了终点再根据编号区分
- 在CDMA中,每一个比特时间再划分为m个短的间隔,称为码片(Chip)。通常m的值是64或128
- 为了简单起见,在后续的举例中,我们假设m为8。
- 使用CDMA的每一个站被指派一个唯一的m bit码片序列(Chip Sequence)
- 一个站如果要
发送比特1则发送它自己的m bit码片序列 - 一个站如果要
发送比特0则发送它自己的m bit码片序列的二进制反码 - 【举例】
- 指派给CDMA系统中某个站点的码片序列为 00011011
- 发送比特1:发送自己的码片序列 00011011
- 发送比特0:发送自己的码片序列的二进制反码 11100100
- 为了方便,我们按惯例将码片序列中的0写为-1,将1写为+1.
- 则该站点的码片序列是(-1-1-1 +1+1-1 +1 +1)
- 码片序列的挑选原则如下:
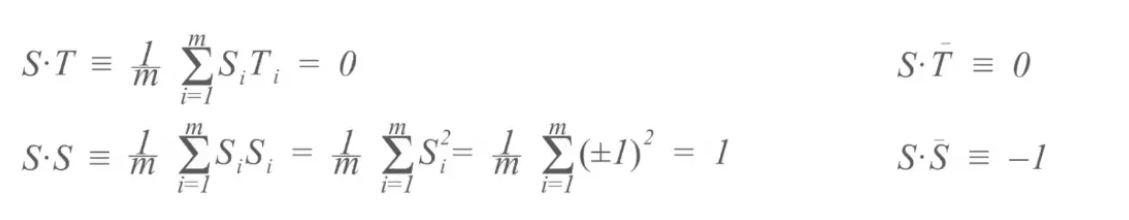
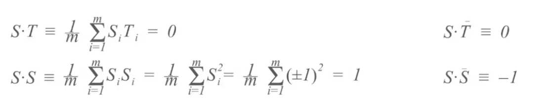
- 分配给每个站的码片序列必须各不相同,实际常采用伪随机码序列
- 分配给每个站的码片序列必须相互正交(规格化内积为0)。令向量S表示站S的码片序列,
- 令向量T表示其他任何站的码片序列
- 两个不同站S和T的码片序列正交,就是向量S和T的规格化内积为0

























